A mais nobre e útil de todas as invenções foi a linguagem, que consiste em nomes ou apelações e em suas conexões, pelas quais os homens registram seus pensamentos, os recordam depois de passarem, e também os usam entre si para a utilidade e conversa recíprocas, sem o que não haveria entre os homens nem Estado, nem sociedade, nem contrato, nem paz, tal como não existem entre os leões, os ursos e os lobos. O primeiro autor da linguagem foi o próprio Deus, que ensinou a Adão a maneira de designar aquelas criaturas que colocava à sua vista, pois as Escrituras nada mais dizem a este respeito. [O Padrão Sagan, de autoria de Carl Edward Sagan (Nova Iorque, 9 de novembro de 1934 – Seattle, 20 de dezembro de 1996), é um aforismo que diz que alegações extraordinárias requerem evidências extraordinárias. Uma alegação extraordinária é uma alegação que não é embasada pelas evidências disponíveis ou por evidências comuns. O apoio para essa alegação deve, portanto, vir de alguma evidência nova observada ou derivado de um novo reconhecimento de evidências existentes, que seja extraordinário e verdadeiro. Em Sobre o Extraordinário: Uma Tentativa de Clarificação (1978), o sociólogo Marcello Truzzi (Copenhague, 6 de setembro de 1935 – Ann Arbor, 2 de fevereiro de 2003) também registrou: Uma alegação extraordinária requer uma prova extraordinária. Bem, se este aforismo estiver correto, e, por evidente, eu admito que esteja, pergunto: onde o ilustre Thomas Hobbes achou a evidência extraordinária para fazer a alegação extraordinária que o primeiro autor da linguagem foi o próprio Deus, que ensinou a Adão... ?] [In: Leviatã, um livro escrito por Thomas Hobbes.]
A
história da maçã
é pura fantasia.
Maçã igual àquela
o papai também comia.

Pura Fantasia
Eu
li num almanaque,
que, num dia, de manhã,
Adão estava com fome,
e comeu a tal maçã...

Adão Sus scrofa
Comeu
com casca e tudo,
não deixando nem semente.
Depois, botou a culpa
na pobre da serpente!

A Pobre da Serpente!

os teólogos de merdolência-roscofe,
e o grande Thomas Hobbes
outrossim agasalhou este empofe.


E
eu – que por pouco quase fui padre! –
também confesso que acreditei.
Todavia, caí na real, e até
desisti de me tornar frei.
Bem,
aproveito para comentar:
espiritualidade não obriga
uma fideísta religiosidade,
pois, nem sequer fazem liga.
Espiritualidade ‹—› Religiosidade
Então,
o que se deu comigo
– para me meteram num seminário –
foi muito pior do que filme de horror:
foi um indiscernimento autoritário.
[Sabe o que aconteceu? Fui expulso do seminário.
E comemorei!]

Eu
– há ± 70 anos – coroinha da Igreja de N. S. de
Copacabana,
do Padre Barbosa, no Posto 6, em Copacabana, Rio de Janeiro.
[Uma coisa que eu nunca entendi é por que não
há mulheres coroinhas!]

E
a noite vai noitecendo...
E as mil e uma religiões
não conseguem Illuminar
os humanos C
rações.
O
pior –
o pior de tudo
–
é que muitos se submetem,
e, à todas essas carochinhas,
suas esquizofrenias aditam.
É
por isso que tenho dito:
uma coisa foi/é o ![]()
outra, totalmente diferente,
é o religioso Catolicismo...
Que
inventou o pecado
e a maldita condenação,
e que tomém
partejou
a remissão e a salvação.








Chico
'Tim Tone$'
Anysio
[Nos portais do
escurecer,
frente às trevas do pavor,
sob a luz do bem-querer,
glória ao nosso salvador!]

Invencionice Teológica
E,
para merecer o céu,
é preciso se confessar.
Mas, isso só não basta:
é necessário comungar.
E
continua não bastando:
é indispensável multidizimar.
E, por aí, vai... Vai... Vai...
Sem limite... Sem parar...

Chico
'Tim Tone$'
Anysio
[No negror da antiga
era,
nasce a luz de uma quimera:
Tim Tones... Tim Tones...
Glória ao nosso redentor!
Tim Tones... Tim Tones...
Oásis no deserto da dor!]
Argumentum
ad hominem...
Argumentum cosmologicum...
Argumentum ex vano...
Argumentum damnatum...

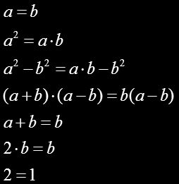
Esse
troço aí em cima parece que está certo, mas, não
está.
Na quarta linha, não se pode dividir por (a
– b),
pois, de acordo
com a equação, que começou com a
= b
[a – b = 0],
não se pode
dividir por zero, uma vez que isso geraria uma indeterminação,
e, portanto, a demonstração acima é um absurdo matemático.
Isto é similar a Vida + Pecado = Inferno e vida –
Pecado = Céu.
O que há é Vida + Pecado = Compensação
Cármica Educativa.
Fonte: https://www.prof-edigleyalexandre.com/2011/11/absurdos-matematicos.html
E,
de cousismo
em cousismo,
vai caminhando a Humanidade,
sem conseguir compreender
o porquê da sua ![]()

Saudade Metafísica
—
Quem sou?
Sou? Não sou?
De onde vim?
Por que vim?
Aqui? Por quê?
Por que não lá?
Ou acolá?
Eu quis vir ou fui obrigado?
Se fui obrigado, quem me obrigou?
Por quê?
Quanto tempo ficarei?
Por que tenho que ficar?
Depois... Para onde?
Para o céu?
Para o inferno?
Para o limbo?
Para o raio que o parta?
Para o nada?
Para o sempre?
Para onde?
Onde?
Irei?
Quando?
Quem serei?
Serei?
Não serei?
Dúvidas... Incertezas...
Incertezas... Dúvidas...
Tudo isso por quê?
Por quê?
Oh! Eu não sei nada!
E você? Sabe alguma coisa?
Quem sabe?
Será que, um Dia, saberemos?
Paciência.
Humildade.
Bom Combate.

Ora,
precisamos apreender
que fora não garimparemos nada.
É dentro – in Corde nostro –
que principia a
.
Permanecer
na mesma
e na mesma permanecer
é continuar um cramulhano...
E um
se recusar a ser.

Música de fundo:
História da Maçã
Compositores: Haroldo Lobo e Milton de Oliveira
Interpretação: Jorge VeigaFonte:
https://www.youtube.com/watch?v=eapffs9dr-k
Páginas da Internet consultadas:
https://www.dreamstime.com/illustration/altar-boy.html
https://sociedadedospoetasamigos.blogspot.com/2
013/01/millor-fernandes-desenhista-humorista.htmlhttps://iconscout.com/lottie-animations/snake
https://www.animatedimages.org/cat-bats-196.htm#google_vignette
https://www.pngegg.com/en/search?q=ugly+Frog
https://www.istockphoto.com/br
https://wow.fan/es/products/carl-sagan-quotes-wpapartist
https://www.amazon.com.br/Saudade-Infinito-ensaios-
metaf%C3%ADsica-rom%C3%A2ntica/dp/6586942993https://dribbble.com/shots/3451956-Fluid-Hourglass-Loading-Animation
https://pngtree.com/so/green-hat-and-clover
https://www.picgifs.com/graphics/adam-
eve/graphics-adam-eve-811222-770442/https://caricaturistavinicius.blogspot.com/2012/
05/personagens-de-chico-anysio-tim-tones.htmlhttps://pixabay.com/gifs/pig-cartoon-fat-green-apple-419/
Direitos autorais:
As animações, as fotografias digitais e as mídias digitais que reproduzo (por empréstimo) neste texto têm exclusivamente a finalidade de ilustrar e embelezar o trabalho. Neste sentido, os direitos de copyright são exclusivos de seus autores. Entretanto, como nem sempre sei a quem me dirigir para pedir autorização para utilizá-las, se você encontrar algo aqui postado que lhe pertença e desejar que seja removido, por favor, entre em contato e me avise, que retirarei do ar imediatamente.